In his story, Kathy Gray’s father was in John Knox Village for senior care.
However, Kathy didn’t think that this Senior Care Center which provided around the clock care and specialized in this field was providing adequate care according to her desires.
Now before continuing – there is absolutely nothing wrong with wanting to provide the best care for one parents. That is very important point to make.
So, Kathy got help recruiting volunteers who would watch her father around the clock in this senior care facility where trained professionals who were paid to do this were present.
We spoke with multiple people to verify all information in this story.
————
“I remember there being about 4-6 school of ministry students originally “recruited” for extra help with Bob even though he was in some sort of assisted living facility (John Knox). Eventually the numbers dwindled down…
They were tasked with staying with Bob 24/7 to help him get up to pee because Kathy felt that he wasn’t being tended to as much as she’d like.
After Bob left John Knox, he had a daytime nurse. That wasn’t enough for Kathy so she asked them move into Bob’s basement and watch him on a baby monitor all night in case he got up to pee, and in exchange they offered to sell Bob’s house to Tim below market value upon Bob’s impending death. Once Bob died, they moved back to Texas and got divorced. Not surprising considering they spent their first married year caretaking a dying old man around the clock for free.”
“People had to stay with him the whole time in case Bob needed them.
He’d wake up and I’d give him this thing to pee in and then go dump it in the toilet.
That’s definitely one of those situations where they used their position of power to get me to do something they didn’t fully explain to get me to say yes then once I had agreed it turned out to be way different and way worse. It was explained as make sure Bob doesn’t get up and fall, if he tries to get up, call a nurse when it reality it was help Bob use the bathroom either by helping him to the bathroom or giving him the jug. There was also a ton of fear if he fell on my watch.T
his place is fully staffed 24/7 by RN’s and nurses assistants who are paid to actually deal with this stuff.
Steve called me into the pastor’s lounge and told me they needed someone to sit with Bob. It was the first time he called me back there by myself so it was kind of a big deal for me. I’m not sure how they picked the people, probably just going through a list of members picking people they thought would help. I doubt others were as “blessed” as I was to be asked directly by Steve. I assume Heather and/or Heather’s minions asked most of the people.”
“This document was in an old email from around 2013. For context, both of Kathy’s parents were in john knox village. Her mom was very sick and needed round the clock medical care and her dad had fallen and broken his hip and needed rehab. Kathy decided that her dad needed even more round the clock care than the paid medical staff so her people put together a team of volunteers to sit with her dad 24/7 for 3-4 weeks with their main responsibility being to help him pee. I was one of the lucky chosen. Here are the rules we were given.”
———-
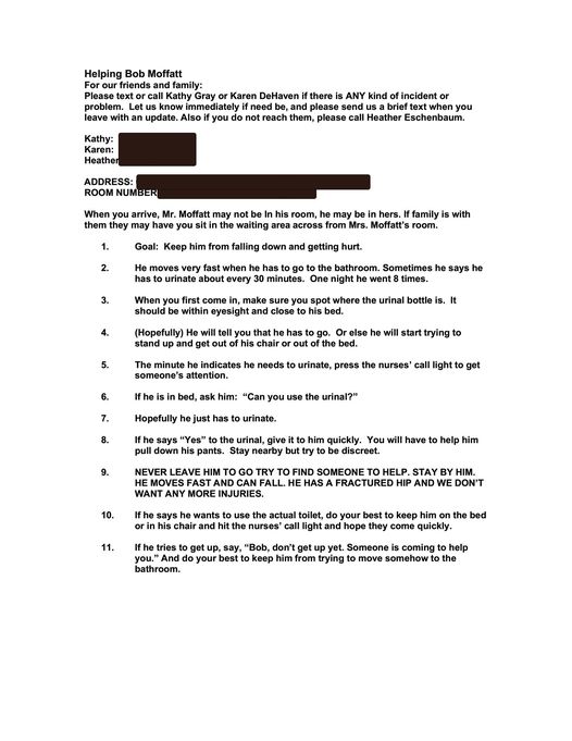
A screenshot of a Word document entitled, “BMoffatt.docx” is pictured.
It says, “Helping Bob Moffatt
For our friends and family; Please text or call Kathy Gray or Karen DeHaven if there is ANY kind of incident or problem. Let us know immediately if need be, and please send us a brief text when you leave with an update. Also if you do not reach them, please call Heather Eschenbaum.
Kathy: (phone number redacted)Karen: (phone number redacted)
Heather: (phone number redacted)
Address: (redacted)Room number (redacted)
When you arrive, Mr. Moffatt may not be in his room, he may be in hers. If family is with them they have you sit in the waiting room across from Mrs. Moffatt’s room.
1. Goal: Keep him from falling down and getting hurt.
2. He moves very fast when he goes to the bathroom. Sometimes he says he has to urinate about every 30 minutes. One night he went 8 times.
3. When you first come in, make sure you spot where his urinal bottle is. It should be within eyesight and close to his bed.
4. (Hopefully) He will tell you that he has to go. Or else he will start trying to stand up and get out of his chair or out of the bed.
5. The minute he indicates that he needs to urinate, press the nurses’ call light to get someone’s attention.
6. If he is in bed, ask him: “Can you use the urinal?
7. Hopefully he just has to urinate.
8. If he says “Yes” to the urinal, give it to him quickly. You will have to help him pull down his pants. Stay nearby but try to be discreet.
9. NEVER LEAVE HIM TO GO TRY TO FIND SOMEONE TO HELP. STAY BY HIM. HE MOVES FAST AND CAN FALL. HE HAS A FRACTURED HIP AND WE DON’T WANT ANY MORE INJURIES.
10. If he says he wants to go to the actual toilet, do your best to keep him on his bed or in his chair and hit the nurses’ call light and hope they come quickly.
11. If he tries to get up, say, “Bob, don’t get up yet. Someone is coming to help you.” And do your best to keep him from trying to move somehow to the bathroom.

